近日,beats365亚洲版官网赵巍胜/林晓阳课题组联合北京大学彭练矛/许海涛课题组,在碳纳米管晶体管(CNTFET)领域取得重要进展。研究团队发现了伽马射线辐照诱导的CNTFET器件性能提升现象。相关成果以《Boosting carbon nanotube transistors through γ-ray irradiation》为题,发表于《Nature Communications》期刊。

图1 器件结构及CNT材料的辐照性能
随着硅基晶体管逐渐逼近物理极限,CNTFET凭借其卓越的短沟道免疫性和高速低功耗特性,成为后摩尔时代的重要候选技术。尽管CNTFET已在材料提纯、器件制备和系统集成方面取得长足进展,甚至初步具备与现有硅基产线兼容的能力,但基于共轭聚合物提纯的碳纳米管(CNT)材料与介电层之间的界面质量始终是制约性能提升的关键瓶颈。残留的有机分子会导致界面态密度增加,亚阈值摆幅退化,并诱导出带隙态,辅助载流子隧穿,增大关态电流,影响器件的功耗表现。

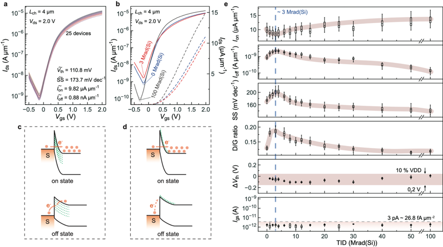
图2 CNTFET的电学性能随辐照剂量的变化
针对这一难题,研究团队提出了一种全新的解决方案:利用高能伽马射线辐照,选择性分解和重塑碳纳米管表面残留的有机分子,可显著改善界面质量。研究表明,伽马射线辐照几乎不损伤CNT本身,而会促使有机分子中的低键能化学键(如sp3和C–O)向高键能化学键(如sp2和C=O)转化,减少了界面处的浅能级缺陷态,从而有效抑制了关态泄漏电流和亚阈值摆幅的退化。通过这一方法,器件工作电压下的关态电流密度降低至112.2 pA/μm,接近100 pA/μm的低功耗目标,开关比达到约105,处于网络状CNTFET的最佳水平。伽马射线处理不仅在室温下进行,且具备高通量、低成本、兼容大尺寸晶圆等优势,具备良好的工业化前景。
研究团队还设计了一种准环栅结构的CNTFET,该结构通过上下双栅共同调控,提升了栅控效率和器件抗辐照特性。实验显示,即使在高达100 Mrad(Si)的总剂量辐照下,器件的阈值电压变化仍控制在10%以内,展现了远超传统硅基器件(< 1 Mrad(Si))的抗辐射能力。

图3 统计性分析
该研究为CNTFET的后处理提供了一种高效、可扩展的工业化路径,也为其在深空探测、核能应用等强辐射环境中的部署应用奠定了技术基础,标志着碳纳米管晶体管向实际应用迈出关键一步。
该项工作由北航beats365亚洲体育投注、国际创新学院(杭州北航国际创新研究院)、自旋芯片与技术全国重点实验室,北京大学电子学院与碳基电子学研究中心、北京元芯碳基集成电路研究院、山西北大碳基薄膜电子研究院,北京计算科学研究中心,清华大学物理系、低维量子物理全国重点实验室等单位合作完成。北航师资博士后张科,北京元芯碳基集成电路研究院工程师高宁飞为论文的共同第一作者;北航林晓阳教授、北京元芯碳基集成电路研究院许海涛教授、北京大学彭练矛教授为共同通讯作者。该项工作得到了国家自然科学基金、国家重点研发计划、博士后特别资助等项目的支持。
原文链接:https://www.nature.com/articles/s41467-026-68673-0
Zhang, K., Gao, N., Zhang, J. et al. Boosting carbon nanotube transistors through γ-ray irradiation. Nat Commun 17, 1896 (2026). https://doi.org/10.1038/s41467-026-68673-0